Author

J.A. Conejero

Browsing

Anomalous diffusion is ubiquitous in systems ranging from intracellular transport and porous-medium flow to animal foraging, and its quantification requires robust methods that cope with short and noisy trajectories. We present AnomalousNet, a unified three-stage pipeline for analyzing anomalous particle dynamics. First, up to 64 particles per  128×128 field of view are tracked using the Crocker–Grier algorithm via Trackpy. Next, an Attention U-Net trained on over 8.6 × 104 simulated experiments infers frame-wise anomalous exponents α, generalized diffusion coefficients K, and discrete motion states. Finally, regime changes are identified using an L2-regularized, windowed pruned exact linear time change-point detection algorithm. On the 2nd Anomalous Diffusion Challenge benchmark the method achieved  MAE(α=0.32) and MSLE(K)=0.1, , state-classification  F1=0.93, and change-point RMSE = 0.09, ranking second in the video single-trajectory task and ensemble task. These results demonstrate precise discrimination of subdiffusive, normal, and superdiffusive regimes, and frame-level identification of state transitions establishing AnomalousNet as a powerful tool for quantitative analysis of heterogeneous diffusion in video data.

Y. Ahsini, M. Escoto, and J.A. Conejero. AnomalousNet: a hybrid approach with attention U-Nets and change point detection for accurate characterization of anomalous diffusion in video data. \textit{J. Phys. Photonics} 7 (2025) 7 045015. https://doi.org/ 10.1088/2515-7647/ae0120

The analysis of live-cell single-molecule imaging experiments can reveal valuable information about the heterogeneity of transport processes and interactions between cell components. These characteristics are seen as motion changes in the particle trajectories. Despite the existence of multiple approaches to carry out this type of analysis, no objective assessment of these methods has been performed so far. Here, we report the results of a competition to characterize and rank the performance of these methods when analyzing the dynamic behavior of single molecules. To run this competition, we implemented a software library that simulates realistic data corresponding to widespread diffusion and interaction models, both in the form of trajectories and videos obtained in typical experimental conditions. The competition constitutes the first assessment of these methods, providing insights into the current limitations of the field, fostering the development of new approaches, and guiding researchers to identify optimal tools for analyzing their experiments.

G. Muñoz-Gil, H. Bachimanchi, J. Pineda, J. et al. Quantitative evaluation of methods to analyze motion changes in single-particle experiments. Nat Commun 16, 6749 (2025). DOI:10.1038/s41467-025-61949-x

Accurate, reliable and updated information support effective decision-making by reducing uncertainty and enabling informed choices. Multiple crises threaten the sustainability of our societies and pose at risk the planetary boundaries, hence requiring usable and operational knowledge. Natural-language processing tools facilitate data collection, extraction and analysis processes. They expand knowledge utilization capabilities by improving access to reliable sources in shorter time. They also identify patterns of similarities and contrasts across diverse contexts. We apply general and domain-specific large language models (LLMs) to two case studies and we document appropriate uses and shortcomings of these tools for two tasks: classification and sentiment analysis of climate and sustainability documents. We study both statistical and prompt-based methods. In the first case study, we use LLMs to assess whether climate pledges trigger cascade effects in other sustainability dimensions. In the second use case, we use LLMs to identify interactions between the sustainable development goals and detects the direction of their links to frame meaningful policy implications. We find that LLMs are successful at processing, classifying and summarizing heterogeneous text-based data helping practitioners and researchers accessing. LLMs detect strong concerns from emerging economies in addressing food security, water security and urban challenges as primary issues. Developed economies, instead, focus their pledges on the energy transition and climate finance. We also detect and document four main limits along the knowledge production chain: interpretability, external validity, replicability and usability. These risks threaten the usability of findings and can lead to failures in the decision-making process. We recommend risk mitigation strategies to improve transparency and literacy on artificial intelligence (AI) methods applied to complex policy problems. Our work presents a critical but empirically grounded application of LLMs to climate and sustainability questions and suggests avenues to further expand controlled and risk-aware AI-powered computational social sciences.

F. Larosa, S Hoyas, J A Conejero, J Garcia-Martinez, F Fuso-Nerini and R Vinuesa. Environ. Res. Lett. (2025) 20 074032 DOI 10.1088/1748-9326/addd36

Extended connectivity in graphs can be analyzed through k-path Laplacian matrices, which permit the capture of long-range interactions in various real-world networked systems such as social, transportation, and multi-agent networks. In this work, we present several alternative methods based on machine learning methods (LSTM, xLSTM, Transformer, XGBoost, and ConvLSTM) to predict the final consensus value based on directed networks (Erdös–Renyi, Watts–Strogatz, and Barabási–Albert) and on the initial state. We highlight how different k-hop interactions affect the performance of the tested methods. This framework opens new avenues for analyzing multi-scale diffusion processes in large-scale, complex networks.

Y. Ahsini, B. Reverte, J.A. Conejero. AI-Driven Consensus: Modeling Multi-Agent Networks with Long-Range Interactions Through Path-Laplacian Matrices. Appl. Sci. 202515, 5064. DOI:10.3390/app15095064

 

We show how machine learning methods can unveil the fractional and delayed nature of discrete dynamical systems. In particular, we study the case of the fractional delayed logistic map. We show that given a trajectory, we can detect if it has some delay effect or not and also to characterize the fractional component of the underlying generation model.

J. A. Conejero, Ò. Garibo-i-Orts, and C. Lizama. Recovering discrete delayed fractional equations from trajectories, Math. Meth. Appl. Sci. 48 (2025), 7630–7640, DOI 10.1002/mma.9228

To meet the 2030 Agenda for Sustainable Development, all Sustainable Development Goals (SDGs) must receive adequate and balanced funding. This study applies artificial intelligence to analyze research proposals accepted between 2015 and 2023 in the European Union and the United States, focusing on datasets from the European Research Council and the National Science Foundation, respectively. Despite the growing application of Artificial Intelligence (AI) in various domains, there remains a lack of comprehensive analysis that applies AI to examine funding allocation across SDGs and gender disparities in scientific research. This study addresses this unmet need by using AI to uncover imbalances in funding distribution, offering insights into current funding instruments. We reveal critical coverage disparities across SDGs, with both funding instruments prioritizing SDG 9 (Industry, Innovation, and Infrastructure), highlighting a potential overemphasis on this goal. Additionally, we document pronounced gender imbalances among principal investigators across nearly all SDGs, except for SDG 5 (Gender Equality), in which female researchers are comparatively better represented. Our results indicate an urgent need for more inclusive and balanced approaches to achieve sustainable development, starting with allocation of research funding. By providing a nuanced understanding of funding dynamics and advocating strategic reallocations, this study offers actionable policy design and planning insights to foster a more equitable and comprehensive support system for sustainability-focused research endeavouP..

P. Varelas et al. Artificial intelligence reveals unbalanced sustainability domains in funded research. Results in Engineering (2025) 25, 104367. DOI:10.1016/j.rineng.2025.104367

 

Large Language Models (LLMs) have revolutionized Artificial Intelligence (AI), with OpenAI’s reasoning models and, more recently, DeepSeek reshaping the landscape. Despite AI being a strategic priority in Europe, the region lags behind global leaders. Spain’s ALIA initiative, trained in Spanish and Catalan, seeks to bridge this gap. We assess ALIA and DeepSeek’s performance against top LLMs using a dataset of high-school-level mathematical problems in Catalan from the Kangaroo Mathematics Competition. These exams are multiple-choice, with five options. We compiled each LLM’s solution and the reasoning behind their answers. The results indicate that ALIA underperforms compared to all other evaluated LLMs, scoring worse than random guessing. Furthermore, it frequently failed to provide complete reasoning, while models like DeepSeek achieved up to 96% accuracy. Open-source LLMs are as powerful as closed ones for this task. These findings underscore challenges in European AI competitiveness and highlight the need to distill knowledge from large models into smaller, more efficient ones for specialized applications.

L. Rhomrasi et al. LLM performance on mathematical reasoning in Catalan language. Results in Engineering 25 (2025): 104366. DOI:10.1016/j.rineng.2025.104366

Anomalous diffusion is characterized by nonlinear growth in the mean square displacement of a trajectory. Recent advances using statistical methods and recurrent neural networks have made it possible to detect such phenomena, even in noisy conditions. In this work, we explore feature extraction through parametric and non-parametric spectral analysis methods to decode anomalously diffusing trajectories, achieving reduced computational costs compared with other approaches that require additional data or prior training. Specifically, we propose the use of higher-order statistics, such as the bispectrum, and a hybrid algorithm that combines kurtosis with a multiple-signal classification technique. Our results demonstrate that the type of trajectory can be identified based on amplitude and kurtosis values. The proposed methods deliver accurate results, even with short trajectories and in the presence of noise.

M.E. Iglesias Martínez, Ò. Garibo-i-Orts, and J.A. Conejero. «Decoding Anomalous Diffusion Using Higher-Order Spectral Analysis and Multiple Signal Classification.» Photonics. (2025) 12:2, 145. DOI: 10.3390/photonics12020145

 

Currently, despite advances in the analysis of dynamical systems, there are still doubts about the transition between both stable and chaotic behaviors. In this research, we will explain the transition of a system that develops between two dynamic systems that have already been studied: the classical logistic model and a new chaotic system. This research addresses the study of the transition of both the system and its behaviors using computational techniques, where cobweb diagrams, time series, bifurcation diagrams, and even a graphical visualization for the maximum Lyapunov exponent will be visualized. Using a graphical and numerical methodology, bifurcation points were identified that revealed the transition of behaviors at different points. This resulted in a deep understanding of the dynamics of the system, thus highlighting the importance of incorporating computational analysis in dynamic systems, which greatly contributes to the efficient modeling of natural phenomena.

J.A. Conejero, C. Lizama, D. Quijada. Dynamical Properties for a Unified Class of One-Dimensional Discrete Maps. Mathematics 202513, 518. DOI:10.3390/math13030518

 

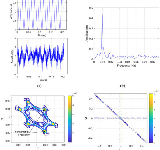
Fault diagnosis in electrical machines is a cornerstone of operational reliability and cost-effective maintenance strategies. This review provides a comprehensive exploration of the integration of higher-order spectral analysis (HOSA) techniques—such as a bispectrum, spectral kurtosis, and multifractal wavelet analysis—with advanced artificial intelligence (AI) methodologies, including deep learning, clustering algorithms, Transformer models, and transfer learning. The synergy between HOSA’s robustness in noisy and transient environments and AI’s automation of complex classifications has significantly advanced fault diagnosis in synchronous and DC motors. The novelty of this work lies in its detailed examination of the latest AI advancements, and the hybrid framework combining HOSA-derived features with AI techniques. The proposed approaches address challenges such as computational efficiency and scalability for industrial-scale applications, while offering innovative solutions for predictive maintenance. By leveraging these hybrid methodologies, the work charts a transformative path for improving the reliability and adaptability of industrial-grade electrical machine systems.

M.E. Iglesias Martínez, J.A. Antonino-Daviu, L. Dunai, J.A. Conejero, P. Fernández de Córdoba. Higher-Order Spectral Analysis and Artificial Intelligence for Diagnosing Faults in Electrical Machines: An Overview. Mathematics 202412, 4032. DOI: 10.3390/math12244032